728x90
그리디 알고리즘(탐욕법)
- 현재 상황에서 지금 당장 좋은 것만 고르는 방법
- 문제를 풀기 위한 최소한의 아이디어를 떠올릴 수 있는 능력 요구
- 정당성 분석 중요
- 단순히 가장 좋아보이는 것을 반복적으로 선택해도 최적의 해를 구할 수 있는지 검토
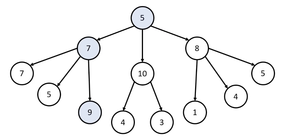
예시
루트 노드부터 시작하여 거쳐 가는 노드의 합을 최대로 만들고 싶음
-> 최적의 해는 무엇? / 단순히 매 상황에서 가장 큰 값만 고른다면?


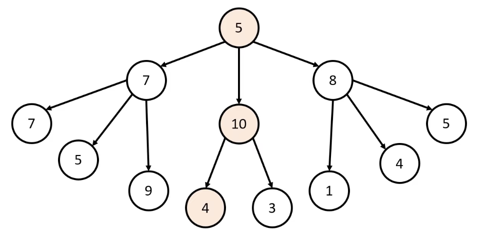
일반적인 상황에서 그리디 알고리즘은 최적의 해를 보장할 수 없을 때 ↑
But, 코딩 테스트에서 대부분의 그리디 문제
-> 탐욕법으로 얻은 해가 최적의 해가 되는 상황에서 이를 추론할 수 있어야 풀리도록 출제
구현(Implementation)
- 머릿속에 있는 알고리즘을 소스코드로 바꾸는 과정
- 구현 유형의 문제 = 풀이를 떠올리는 것은 쉽지만 소스코드로 옮기기 어려운 문제
- 예시
- 알고리즘은 간단한데 코드가 지나칠 만큼 길어지는 문제
- 실수 연산을 다루고, 특정 소수점 자리까지 출력해야 하는 문제
- 문자열을 특정한 기준에 따라서 끊어 처리해야 하는 문제
- 적절한 라이브러리를 찾아서 사용해야 하는 문제
2차원 공간 = 행렬(Matrix)

for i in range(5):
for j in range(5):
print('(', i, ',', j, ')', end=' ')
print()
시뮬레이션 및 완전 탐색 문제: 2차원 공간에서의 방향 벡터 자주 활용

# 동, 북, 서, 남
dx = [0, -1, 0, 1]
dy = [1, 0, -1, 0]
# 현재 위치
x, y = 2, 2
for i in range(4):
# 다음 위치
nx = x + dx[i]
ny = y + dy[i]
print(nx, ny)
출처
728x90
반응형
'📓 > 자료구조 | 알고리즘' 카테고리의 다른 글
| [이것이 취업을 위한 코딩 테스트다 with 파이썬] 4. 정렬 알고리즘 (0) | 2024.03.13 |
|---|---|
| [이것이 취업을 위한 코딩 테스트다 with 파이썬] 3. DFS & BFS (0) | 2024.03.13 |
| [바킹독의 실전 알고리즘] 0x0E강 - 정렬 1 (0) | 2024.03.04 |
| [바킹독의 실전 알고리즘] 0x0B강 - 재귀 (0) | 2024.03.04 |
| [바킹독의 실전 알고리즘] 0x0A강 -DFS (0) | 2024.03.04 |