728x90
반응형
다이나믹 프로그래밍
- 메모리를 적절히 사용하여 수행 시간 효율성을 비약적으로 향상시키는 방법
- 이미 계산된 결과(작은 문제)는 별도의 메모리 영역에 저장 -> 다시 계산하지 않도록 함
- 다이나믹 프로그래밍의 구현 -> 2가지 방식(탑다운 / 보텀업)
조건
- 최적 부분 구조(Optimal Substructure)
- 큰 문제 -> 작은 문제 나눌 수 있음, 작은 문제의 답 모아 -> 큰 문제 해결할 수 있음
- 중복되는 부분 문제(Overlapping Subproblem)
- 동일한 작은 문제를 반복적으로 해결해야 함
피보나치(Fibonacci) 수열
- 1, 1, 2, 3, 5, 8, 13, 21, 34, 55, 89, ...
- 다이나믹 프로그래밍으로 효과적으로 계산할 수 있음
- 피보나치 수열 -> 점화식으로 표현: $a_n = a_{n-1} + a_{n-2}, a_1 = 1, a_2 = 1$
점화식: 인접한 항들 사이의 관계식 - 계산되는 과정 표현
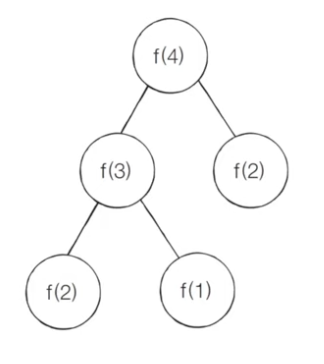
- 수열 -> 배열 or 리스트 이용해 표현
- n번째 피보나치 수를 f(n), 4번째 피보나치 수 f(4) 구하는 과정


Python - 단순 재귀
def fibo(x):
if x == 1 or x == 2:
return 1
return fibo(x - 1) + fibo(x - 2)
print(fibo(4)) # 3
시간 복잡도
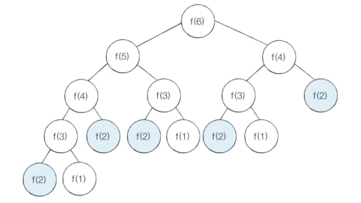
- 단순 재귀 함수로 피보나치 수열 해결 -> 지수 시간 복잡도
- f(2)가 여러 번 호출(중복되는 부분 문제)

- 세타 표기법: $\theta(1.618...^N)$
- 빅오 표기법: $O(2^N)$
-> 빅오 표기법 기준으로 f(30) 계산 -> 약 10억 가량의 연산 수행
해법: 다이나믹 프로그래밍
다이나믹 프로그래밍의 사용 조건을 만족하는지 확인
탑다운 vs 보텀업
- 탑다운(메모이제이션) 방식 = 하향식 / 보텀업 방식 = 상향식
- 다이나믹 프로그래밍의 전형적인 형태: 보텀업 방식
- 결과 저장용 리스트: DP 테이블
- 메모이제이션: 이전에 계산된 결과를 일시적으로 기록해 놓은 넓은 개념을 의미
- -> 다이나믹 프로그래밍에 국한된 개념 X
- 한 번 계산된 결과를 담아 놓기만 하고 다이나믹 프로그래밍을 위해 활용하지 않을 수 있음
메모이제이션(Memoization)
- 다이나믹 프로그래밍을 구현하는 방법 중 하나
- 한 번 계산한 결과를 메모리 공간에 메모하는 기법
- 같은 문제 다시 호출하면 메모했던 결과 그대로 가져옴
- 값을 기록해 놓는다는 점에서 캐싱(Caching)이라고도 함
Python - 탑다운 다이나믹 프로그래밍
# 한 번 계산된 결과 -> 메모이제이션하기 위한 리스트 초기화
d = [0] * 100
# 피보나치 수열 -> 재귀함수로 구현(탑다운 다이나믹 프로그래밍)
def fibo(x):
# 종료 조건(1 or 2 -> 1)
if x == 1 or x == 2:
return 1
# 이미 계산한 적 있는 문제 -> 그대로 반환
if d[x] != 0:
return d[x]
# 아직 계산 X -> 점화식에 따라 피보나치 결과 반환
d[x] = fibo(x - 1) + fibo(x - 2)
return d[x]
print(fibo(99)) # 21822995834555169026
보텀업 다이나믹 프로그래밍
# 앞서 계산된 결과 저장하기 위한 DP 테이블 초기화
d = [0] * 100
# 첫 번째 피보나치 수와 두 번째 피보나치 수 = 1
d[1] = 1
d[2] = 1
n = 99
# 피보나치 함수 - 반복문 구현(보텀업 다이나믹 프로그래밍)
for i in range(3, n + 1):
d[i] = d[i - 1] + d[i - 2]
print(d[n])
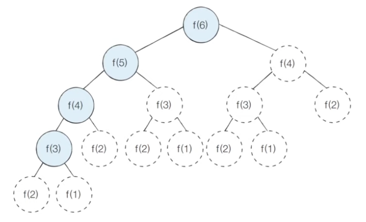
메모이제이션 동작 분석
- 이미 계산된 결과를 메모리에 저장 -> 색칠된 노드만 처리
- 실제로 호출되는 함수 확인


- 메모이제이션 이용 -> 피보나치 수열 함수의 시간 복잡도 O(N)
d = [0] * 100
def fibo(x):
print('f(' + str(x) + ')', end= ' ')
if x == 1 or x == 2:
return 1
if d[x] != 0:
return d[x]
d[x] = fibo(x - 1) + fibo(x - 2)
return d[x]
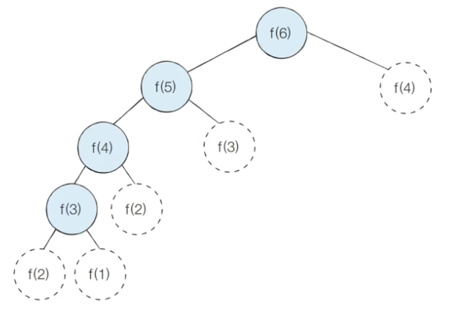
fibo(6) # f(6) f(5) f(4) f(3) f(2) f(1) f(2) f(3) f(4)
다이나믹 프로그래밍 vs 분할 정복
- 공통점: 최적 부분 구조를 가질 때 사용할 수 있음
- 큰 문제 -> 작은 문제로 나눌 수 있음, 작은 문제 답 모아 -> 큰 문제 해결할 수 있는 상황
- 차이점: 부분 문제의 중복
- 다이나믹 프로그래밍 문제: 각 부분 문제들이 서로 영향 미치며 부분 문제 중복됨
- 분할 정복 문제: 동일한 부분 문제가 반복적으로 계산 X

- 분할 정복 대표적인 예시: 퀵 정렬
- 한 번 기준 원소(Pivot)가 변경해서 자리 잡으면 그 기준 원소의 위치 바뀌지 X
- 분할 이후에 해당 피벗을 다시 처리하는 부분 문제 호출 X
다이나믹 프로그래밍 문제에 접근하는 방법
- 주어진 문제가 다이나믹 프로그래밍 유형임을 파악하는 것이 중요
- 가장 먼저 그리디, 구현, 완전 탐색 등의 아이디어로 문제를 해결할 수 있는지 검토
- 다른 알고리즘 풀이 방법이 떠오르지 X -> 다이나믹 프로그래밍 고려
- 일단 재귀 함수로 비효율적인 완전 탐색 프로그램 작성(탑다운)
-> (작은 문제에서 구한 답 -> 큰 문제에서 그대로 사용) => 코드 개선하는 방법 - 일반적인 코딩 테스트 수준에서는 기본 유형의 다이나믹 프로그래밍 문제 출제되는 경우 ↑
출처

728x90
반응형
'📓 > 자료구조 | 알고리즘' 카테고리의 다른 글
| [이것이 취업을 위한 코딩 테스트다 with 파이썬] 8. 기타 그래프 이론 (0) | 2024.03.13 |
|---|---|
| [이것이 취업을 위한 코딩 테스트다 with 파이썬] 7. 최단 경로 알고리즘 (0) | 2024.03.13 |
| [이것이 취업을 위한 코딩 테스트다 with 파이썬] 5. 이진 탐색 (0) | 2024.03.13 |
| [이것이 취업을 위한 코딩 테스트다 with 파이썬] 4. 정렬 알고리즘 (0) | 2024.03.13 |
| [이것이 취업을 위한 코딩 테스트다 with 파이썬] 3. DFS & BFS (0) | 2024.03.13 |